fireball.mex

Si buscas hosting web, dominios web, correos empresariales o crear páginas web gratis, ingresa a PaginaMX
Por otro lado, si buscas crear códigos qr online ingresa al Creador de Códigos QR más potente que existe


UNIDAD 2
RAZONES TRIGONOMETRICAS
 
Son la relación que existe entre los ángulos agudos y los lados de un triangulo rectángulo y son: seno, coseno, tangente, cotangente, secante y cosecante. Ejemplo:
 
 
 
SENO: razón entre cateto opuesto entre hipotenusa. Osea Sen α = C.O / H = a/c.
COSENO: cateto adyacente entre hipotenusa. Así: Cos α = C.A. / H = b / c.
TANGENTE: cateto opuesto entre cateto adyacente. Tan α = C.O / C.A. = a / b.
COTANGENTE: cateto adyacente entre cateto opuesto. Cot α = C.A / C.A. = b / a.
SECANTE: hipotenusa entre cateto adyacente. Sec α = H / C.A = c / b.
COSECANTE: hipotenusa entre cateto opuesto. Scs α = H / C.O = c / a.

RESOLUCION DE TRIANGULOS OBLICUANGULOS
A resolución de estos triangulos se obtiene mediante el uso de logaritmos o valores naturales de las funciones trigonométricas. Se llama triangulo oblicuángulo cuando ninguno de sus angulos interiores es recto. Pueden calcularse los elementos de un triangulo oblicuángulo mediante la resolución de los triangulos rectángulos que se forman al trazar una de sus alturas aprovechando las formulas y propiedades de los triángulos rectángulos o bien aplicando los teoremas los senos, cosenos y tangentes.

LEY DE SENOS
En todo triangulo los lados son proporcionales a los senos de los angulos opuestos y se expresa:
ley de senos
 

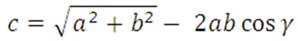
LEY DE COSENOS
En todo triángulo el coseno de un ángulo es igual a la suma de los cuadrados de los lados que lo forman, menos el cuadrado del lado opuesto, dividido entre el doble producto de los lados que forman dicho ángulo. Se expresa así:

- Cuando queremos calcular los angulos de un triangulo cuando conocemos sus 3 lados: ley de cosenos
- Pero cuando queremos calcular el tercer lado de triangulo conociendo un angulo y los 2 catetos utilizamos:ley de cosenos 
 

NOTA: esta formula solo se utiliza cuando se trata de un triangulo oblicuángulo, cuando se trata de un triangulo rectángulo se utilizan las siguientes:

Para calcular el lado a:
 
Para calcular el lado b:

Para calcular el lado c:

 
 

La ley de senos es también conocido como el teorema de Pitágoras generalizado.


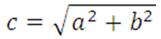
TEOREMA DE PITAGORAS

El teorema de pitagoras dice: “en un triangulo rectángulo el cuadrado de la hipotenusa es igual a la suma de los cuadrados de los catetos. Algebraicamente se expresa asi:  c2 =a2 + b2.

En un triangulo con las medidas 3, 4 y 5, se construyen cuadrados sobre cada lado de dicho triangulo, el area del cuadrado construido sobre la hipotenusa es 25 que la suma de los cuadrados construidos sobre los catetos: 25 = 16 + 9 = c2 =a2 + b2

EJERCICIOS

Calcula las razones trigonométricas seno, coseno y tangente de los ángulos agudos (α y β) de cada triángulo rectángulo que aparecen abajo.

  ejercicio  ejercicio 
 

 

EJERCICIOS PARA LA LEY Y EL ORDEN...DIGO PARA LA LEY DE BUBIS (SENOS)

En la siguiente figura ¿Cuál es el valor de lado a?
 
 

 

En la siguiente figura si sen 39º = 0.6293 y cos 39º = 0.7771 ¿Cuál es el valor aproximado del angulo B, considerando que c = 90?

 
 

EJERCICIOS PARA LEY DE COSENOS

Calcular el valor de la hipotenusa o el cateto según sea el caso.
a = 5 cm. b = 12 cm. c =
b = 7 cm. c = 25 cm. a =
a = 15 cm c = 17 cm b =
SOLUCION: (VIDEO)
En la academia de Konoha hay un espacio triangular para el area de entrenamiento como el que se muestra
 
 

Kakashi sensei quiere hacer un gran muro de roca en el lado c para evitar que los genins se salgan. ¿Cuál sera la longitud del muro?

UNIDAD 3

FUNCIONES CIRCULARES

CIRCULO Y CIRCUNFERENCIA; PUNTOS, SEGMENTOS Y RECTAS NOTABLES .

CIRCUNFERENCIA: es la curva cerrada cuyos puntos equidistan de un punto interior llamado centro.

CIRCULO: superficie plana limitada por la circunferencia.

NOTA: circunferencia y circulo NO son los mismo, circunferencia es el contorno (perímetro) y circulo es lo de adentro.

DIAMETRO: recta que va de un punto a otro dentro de la circunferencia y pasa por el centro. equivale a 2r.

RADIO (r): recta que va del centro a cualquier punto de la circunferencia.

CUERDA: recta que une 2 puntos de la circunferencia, el diametro es la cuerda mas grande.

SECANTE: recta que corta a la circunferencia en 2 puntos.

TANGENTE: recta que toca a la circunferencia en 1 solo punto.

ARCO: parte de la circunferencia determinada por una cuerda.

elementos de la circunferencia

ARCOS Y ANGULOS EN EL CIRCULO

FLECHA: porción del radio entre una cuerda al que es perpendicular a un punto de la circunferencia

SEGMENTO CIRCULAR: porción del círculo limitado por una cuerda y un arco.

CORONA: porción comprendida entre 2 circunferencias con un mismo centro pero diferente area. El área de la corona se calcula con la fórmula: A =π (R2 - r2) es decir,π por la medida del radio mayor (al cuadrado) menos el cuadrado del lado menor.

SECTOR CIRCULAR: porción del círculo limitada por un arco y 2 radios. Su área se calcula así: A = Lr/2, donde: L = longitud de su arco, r = radio.

TRAPECIO CIRCULAR: porción del círculo limitada por dos circunferencias concentricas y dos radios.

ANGULO CENTRAL: ángulo cuyo vértice es el centro de la circunferencia.

 angulo central
ANGULO INSCRITO: sus lados son 2 cuerdas y su vértice esta sobre algun punto de la circunferencia.
El valor del ángulo X se obtiene dividiendo entre 2 el valor de AB, así: AB = 48º/2= 24°
ANGULO CIRCUNSCRITO: sus lados son tangentes a la circunferencia y su vértice esta fuera de la circunferencia.
angulo inscrito
ANGULO SEMIINSCRITO: su vértice es un punto de la circunferencia, uno de sus lados es cuerda y el otro es tangente.
angulo semiinscrito 
El valor del ángulo X se otiene de la misma manera que en el ángulo inscrito así: AB = 137º/2 = 68.5º

ANGULO INTERIOR: sus lados y su vértice estan dentro del círculo.

angulo interior 
El valor del ángulo X se obtiene sumando los valores de AB y CD y luego se divide así: AB + CD / 2 = 55º +70º / 2 = 62.5º

ANGULO EXTERIOR: su vértice esta fuera de la circunferencia y sus lados son secantes.

angulo exterior

El valor del ángulo X se obtiene asi: 54º - 20º / 2 = 17º.
Las funciones trigonometricas, tambien llamadas funciones circulares:

funcion seno 
funcion coseno 
FUNCIÓN TANGENTE
fencion tagente


Las otras funciones trigonométricas, y = cosec x, y = sec x, y = cot x, por la relación que tienen con las tres anteriores, se representan con ellas en las figuras siguientes:Las otras funciones trigonométricas, y = cosec x, y = sec x, y = cot x, por la relación que tienen con las tres anteriores, se representan con ellas en las figuras siguientes:

FUNCIÓN SECANTE
funcion secante 
FUNCIÓN COSECANTE
funcion cosecante 
FUNCIÓN TANGENTE Y COTANGENTE
funciones tangente y cotangente


 

Agregar un comentario

Tu nombre

Tu dirección de correo (no se mostrará)

¿De qué color es el pasto? (chequeo de seguridad)

Mensaje *

© 2026 fireball.mex

81111