UNIDAD 3
LA PARABOLA
SECCIONES CÓNICAS
Las secciones cónicas son curvas que pueden obtenerse de la intersección de un plano con un cono circular recto. La intersección del cono con un plano perpendicular a su eje es la circunferencia, si el plano se inclina ligeramente se obtendrá una elipse, si el plano interseca ambas mitades o ramas del cono se formara una hipérbola y si el plano es paralelo a una recta sobre el cono la curva resultante es una parábola, estudiaremos más a fondo sobre esta curva.
En ocasiones, la geometría analítica se considera como el estudio de las 3 grandes curvas: parábola, elipse e hipérbola. Esto se debe a Menecmo (siglo IV a.C.) a quien se le atribuye la invención de dichas curvas. Isaac Newton describió el tiro parabolico, llamado asi porque en este movimiento se describe una parábola.
Parábola: se define como el conjunto de los puntos que están a la misma distancia de una recta fija llamada directriz y de un punto fijo del plano llamado foco.
Los elementos fundamentales de la parábola son:
-vértice: es el punto medio del segmento AF.
-eje de la parábola (EE’): es la recta que pasa por el foco y el vértice. La posición del eje determina la posición de la parábola; hay parábolas horizontales, verticales o inclinadas. La parábola siempre es simétrica con respecto a su propio eje.
-directriz (DD’): es la recta perpendicular al eje de la parábola y la distancia existente entre esta y el vértice es igual quela distancia entre el vértice del foco, a esta distancia se le conoce como parámetro (p).
-lado recto (LR): es la recta que une 2 puntos de la parábola, pasa por el foco y es perpendicular al eje de la parábola. La medida del lado recto es lo equivalente 4 parámetros: LR = |4p|
-cuerda (CC’): es el segmento de 2 puntos cualesquiera de la parábola.
-cuerda focal (BB): es la cuerda que pasa por el foco.
-radio focal: distancia que hay entre el foco y cualquier punto de la parábola.
-la concavidad es la dirección a donde se abre la parábola, lo remarcaré más adelante.
REPRESENTACIÓN GRÁFICA DE UNA FUNCIÓN CUADRÁTICA
Las ecuaciones de 2° grado generan curvas, la parábola se forma por la ecuación de 2° grado:
Ax2 + By2 + Cx + Dy + E = 0
La función cuadrática se representa asi: f (x) = ax2 + bx + c, es común que en vez de f (x) lo encuentren como y, pero para el caso es lo mismo.
ECUACIONES CANÓNICAS PARA PARÁBOLAS CON VÉRTICE EN EL ORIGEN
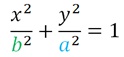
Si su eje coincide con el eje Y son cóncavas hacia arriba o hacia abajo:
Ecuación ordinaria: x2 = 4py; su foco esta en F ( 0,p) su directriz D y = - p la parábola queda asi:

Ecuacion: x2 = -4py su foco esta en F (0,-p) su directriz D y = p la parábola queda asi:

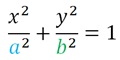
Si su eje coincide con el eje X su concavidad es hacia la derecha o hacia la izquierda.
Ecuación: y2 = 4px foco en F (p,0) directriz D x = -p la parábola queda asi:

Ecuación: y2 = -4px foco en F (-p,0) directriz D x = p la parábola queda asi:
.jpg)
Para cualquiera su lado recto se calcula LR = |4p|
ECUACIONES CANONICAS PARA PARABOLAS CON VERTICE EN (h,k)
Si su eje es paralelo al eje Y entonces:
Ecuación ordinaria: (x-h)2 = 4p (y-k) su foco esta en F (h, k+p) su eje simétrico x = h su directriz D y = k-p la curva abre hacia arriba pues p es positivo:

Ecuación: (x-h)2 = -4p (y-k) foco en F (h, k-p) su eje x = h su directriz D y = k+p la curva abre hacia abajo puesto que p es negativo:

Si su eje es paralelo al eje X:
Ecuación: (y-k)2 = 4p (x-h) foco en F (h+p, k) su eje y = k su directriz D x = h-p abre hacia la derecha porque p es positivo:

Ecuación: (y-k)2 = -4p (x-h) foco F (h-p, k) eje y = k directriz D x = h+p la parábola abre hacia la izquierda porque p es negativo:

UNIDAD 3
LA ELIPSE
DEFINICIÓN, CONSTRUCCIÓN Y ELEMENTOS DE LA ELIPSE
La elipse es el lugar geométrico de todos los puntos del plano, tales que la suma de las distancias de cada uno de ellos a los focos es constante. Los elementos de la elipse son:
Puntos:
-vértices V y V’
-focos F y F’
-centro C
Ejes:
Eje mayor (AA’): diámetro mayor o eje focal, se representa por 2a.
Eje menor (BB’): diámetro menor, se representa por 2b.
Distancia focal (FF’): se representa por 2c.
Lado recto. Cuerda que pasa por uno de sus focos, perpendicular al eje mayor, se calcula con LR = 2b2/a
Semi-ejes:
-longitud del semi-eje focal CF’ = CF = c
-semi-eje mayor CV’ = CV = a
-semi-eje menor CB’ = CB = b
Excentricidad: razón de la semidistancia focal (c) al semi-eje mayor (a), se calcula con e= c/a, e < 1
Vértices V y V’ lado recto PQ eje focal FF’ = 2c
Focos F y F’ eje mayor VV’ = 2a
Centro C eje menor BB’ = 2b
METODO DEL JARDINERO PARA CONSTRUIR UNA ELIPSE
1.- trazar un plano cartesiano.
2.- identificar el eje de las abscisas (x) y de las ordenadas (y).
3.- en el eje de las ordenadas se marcaran 2 puntos cualesquiera (considerando la misma distancia para los positivos y negativos.
4.- utilizando un cordon mayor a 10 cm, el cual estará sujetado en uno de sus extremos un lápiz y el otro servirá de apoyo en el punto asignado en el eje Y (primero los positivos y luego los negativos).
5.- se trazara el arco del eje x positivo al eje y positivo y de aquí al eje x negativo.
6.- de la misma manera se traza para el lado opuesto, obteniendo la elipse.


MÉTODO DEL ESCANTILLÓN
1.- trazar un plano cartesiano en donde el eje de las abscisas (x) será el eje mayor.
2.- el eje de las ordenadas (y) será el eje menor y el punto de intersección de ambos ejes será el centro de la elipse.
3.- cortar una tira de papel de 20 cm de largo por 4 cm de ancho.
4.- marcar en la tira de papel el eje mayor y el eje menor, partiendo por el centro. Colocando un numero 3 para el eje menor y un 2 para el eje mayor. En 1 se marcara colocando el 2 en el centro del eje menor al centro de la elipse.
5.- para trazar la elipse se colocara la tira de papel de tal forma que el punto 2 coincida con el eje x positivo y el punto 3 coincida con el eje y negativo.
6.- marcando en el punto 1 la distancia obtenida, girando la tira de papel del centro de la elipse C al punto B.
7.- repetir el mismo procedimiento para los puntos C a V invirtiendo la tira de papel.

ECUACIÓN GENERAL Y ORDINARIA
La ecuación general de la elipse con centro en el origen y eje mayor sobre algún eje coordenado es Ax2 + By2 + Dx + Ey + F = 0. Donde A y C tienen el mismo signo, D y E = 0 y F es una constante.
La ecuación ordinaria de la elipse con centro en el origen y eje focal sobre el eje x es:
Gráficamente la elipse queda asi:

Sus vértices están en: V (a,0) y V’ ( -a,0)
Sus focos están en: F (c,0) y F’ (-c,0)
Los extremos del eje menor están en: B (0,b) y B’ (0,-b)
Cuando la elipse tiene su centro en el origen pero su eje focal esta sobre el eje y su ecuación es: 
Gráficamente la elipse esta así:

Las coordenadas de sus vértices son: V (0,a) y V’ (0,-a)
Sus focos están en: F (0,c) y F’ (0,-c)
Los extremos del eje menor están en B (b,0) y B’ (-b,0)
Ejercicios:
1.- deduce la ecuación y traza la gráfica de la elipse cuyos vértices están en V (0,8) y V’ (0,-8) y sus focos en F (0,5) y F’ (0,-5). Además deberás encontrar sus elementos faltantes.
Solución: para hacer esto mas facil primero traza un plano cartesiano y localiza en el los puntos que tienes de esta manera:

Con esto se puede observar que la elipse tiene su eje focal sobre el eje y entonces su ecuación es de la forma
Ahora bien, como sus vértices están en V (0,8) y V’ (0,-8), lo abreviare como V (0,+-8) = V (0,a); a = 8, a2 = 64, como F (0,+-5) = (0,c); c = 5, c2 = 25. Para encontrar a b usamos teorema de pitagoras: b2 = a2 – c2 = b = √82 – 52 = √64 – 25 = √39 = 6.24. con esto ya podemos localizar los extremos del eje menor B (+-b,0) = (+-6.24,0). Su lado recto LR = 2b2/a = 2(39)/5 = 78/5= 15.6; su excentricidad e = c/a = 5/8 =0.625. eje focal FF’ = 2c = 2(5) = 10; eje mayor VV’ = 2a = 2(8) =16; eje menor BB’ = 2b = 2(6.24) = 12.48. por ultimo terminemos de deducir su ecuación:

Por último el lugar geométrico quedaría así:

2.- encuentra los elementos de la elipse a partir de la grafica.
Zithromax Antibiotics
19 Feb 2021 - 01:24 pm
z pack for skin infection buying zithromax z pak used for uti
Buy Hydroxychloroquine
13 Feb 2021 - 09:46 pm
hydroxochlorquine hydroxychloride medicine plaquenil hydroxychloroquine sulfate
Tartinidody
10 Feb 2021 - 08:21 pm
cialis online pharmacy
Tartinidody
09 Feb 2021 - 11:14 pm
cialis price
Anónimo
10 May 2020 - 02:44 pm
Bedroom furniture sale
Come in outstanding store in Jefferson Park production for office and home use and cafe! presents over 12000 appointment furniture and goods for a country house and apartments or restaurant. Natural rattan , are used for the purposes of production our branded products , possesses strength and wear resistance, wonderful external data. All furniture processed special compounds, due to which their surface does not absorb water, stable to extremes ambient temperature air and exposure of the sun. Vya our furniture excellent retains its functions even in restaurant in open spaces . In the presented online catalog you offered photos furniture for dining room, hall, bedroom, children's room , as well as intended for organization of storage area - dressers and cabinets, cabinets and others . In our store in Fairfax you can buy everything for any your home not expensive . We invite client come to store , holding in Westwood what cares about its shopper.
Anónimo
22 Apr 2020 - 01:35 pm
Монолитный фундамент цена
Создание дома вашей мечты - это оригинальная возможность, спланировать и претворить в жизнь нечто воистину уникальное во всех отношениях. Возведение фундамента - это в целом первоначальная модель ремонта, в процессе которой домик строится. При расчете замена фундамента под старым деревянным домом цена предусматривается весьма много факторов. Средняясумма возведения домов фундамента составляет приблизительно от 10$ за кв.метр . Погреб сможет умножить итоговую стоимость каждого объекта недвижимости, предоставляя необходимое помещение ради организации хранения и порой рабочее пространство. Наша профессиональная команда по конструированию и возведенью фундамент под памятник на кладбище цена может помочь выстроить жилище, о котором вы всегда мечтали. От начала до конца наша специализированная компания в Череповец позаботимся о всех без исключения процессах, чтобы заказчику не довелось тревожиться о деталях. Специализированная международная компания в Киселевск несет юридическую ответственность за проект, а не вы, именно поэтому организация в Борисоглебск имеют интерес в том, затем чтобы довести до конца строительство коттеджа быстрее и эффективнее. Узнайте о сваи винтовые для фундамента цены в вытегре у спспециалистовециалистов корпорации.
Anónimo
22 Apr 2020 - 07:44 am
general construction nyc
Repair work residential premises turnkey - much better Solving problems through wizards.In order place an order for repair work dwellings in Diamond District, leave a request on site or by phone. To create hospitality interior decoration expertly as well as properly, it is vital to utilize effective and also extremely audio products that comply with all standards and technological criteria. However the primary distinction is not also in the components, but in how and just how correctly they are actually made use of. And also this is actually the work of the experts. Expert capabilities areactually an extremely essential situation. . Likewise in our firm, you can purchase personalized bathroom vanities, retail interior design on the most effective problems. With us, interior basements, in addition to Premium renovation Bay Terrace, will end up being straightforward, high quality and also quickly. Our representative will call you back, for clarification few details and assign Times of Day arrival to you professionals and designer.
Anónimo
25 Sep 2019 - 03:21 am
Viagra Temps D'Action cialis price Viagra Soft Pills Herbal Alternative Propecia Newzealand Pharmacy Domperidone