fireball.mex

Si buscas hosting web, dominios web, correos empresariales o crear páginas web gratis, ingresa a PaginaMX
Por otro lado, si buscas crear códigos qr online ingresa al Creador de Códigos QR más potente que existe


GEOMETRÌA ANALÌTICA

UNIDAD 1 LA RECTA

DEFINICIÒN
Rama de las matemáticas que une el álgebra a la geometría plana en un estudio de del espacio bidimensional o tridimensional. El padre de la geometría analítica es René Descartes.
El plano cartesiano es el arreglo de dos rectas perpendiculares (x y y) que se extiende al infinito y el punto donde se intersecan se conoce como origen, representado por la letra O. los valores de x se conocen como abscisas y los de y ordenadas. Una coordenada o punto es una pareja (x,y).

BOSQUEJO HISTORICO
Todo comenzó en Babilonia hace casi 5800 años, después paso a Egipto, como los faraones necesitaban medir los campos de cultivo para cobrar impuestos, de hecho geometría proviene del griego geo = tierra y metron = medida = Medición de la tierra. Después paso a Grecia donde se destacaron Tales de Mileto, Pitágoras de Samos, Euclides, Platón, Arquímedes de Siracusa, Apolonio de Perga, Herón de Alejandría etc. hasta llegar a René Descartes quien unió el algebra con la geometría plana dando origen a la geometría analítica, sin embargo “analítica” apareció hasta la obra de Isaac Newton publicada por Horsley en 1779 “Sive specimina artis analyticae” = “Geometría Analítica o especímenes del arte analítico”

DISANCIA ENTRE 2 PUNTOS, PUNTO MEDIO Y DIVISION DE UN SEGMENTO EN UNA RAZON DADA

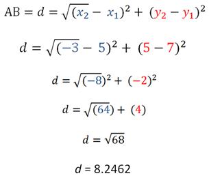
Analíticamente la distancia entre 2 puntos AB se calcula con la fórmula: distancia entre 2 puntos
Por ejemplo: calcular la distancia que hay entre el punto A(5,7) y B(-3,5). La respuesta es 8.2462 y a continuación les demostrare como lo hice.

 

Ahora otro ejemplo: calcular la distancia d que hay entre los puntos A (-4,1) y B (9,3). Solución:

Muy fácil ¿verdad?, tal vez te confundiste cuando viste que en el segundo ejercicio en vez de restar sume x2 + x1, bueno pues eso fue porque estaba restando un numero negativo, entonces según la ley de signos “menos por menos da más”, algo así: (+) – (-) = (+)  + (+), si no me creen háganlo en la calculadora.
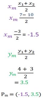
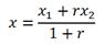
Para calcular analíticamente el punto medio (Pm) en la distancia entre 2 puntos se utiliza con:

punto medio

Por ejemplo, se tienen 2 puntos, A (7,4) y B(-10,3), hallar su punto medio. Solución:

Si en una recta se tienen dos puntos P1 (x1, y1) y P2 (x2, y2) y en esta recta un punto P (x, y) este punto va a dividir a la recta en partes iguales, r será la razón en que P (x, y) dividirá a la recta, es decir las partes en que la dividirá.
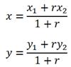
Para encontrar la razón r conociendo los extremos (P1 y P2) y el punto de división (P) se utiliza la fórmula:

Para hallar el punto de división conociendo la razón y los extremos se utiliza la fórmula:

Ejemplos.
Encuentra el punto que divide al segmento P1 (4, 3) P2 (7,9) con la razón r = 3/8. Solución:

 
 
 
 
 

LA RECTA COMO LUGAR GEOMETRICO

La recta se define como lugar geométrico donde se conserva de manera constante el cociente de la diferencia entre las ordenadas (y) y las abscisas (x). Un lugar geométrico es un conjunto de puntos que satisfacen una regla o condición matemática (ecuación), osea que el lugar geométrico no es otra cosa sino la gráfica.

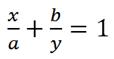
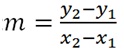
La ecuación de general de la recta es Ax + By + C = 0. Su ecuación ordinaria es y = mx + b donde m es la pendiente, y b es la ordenada al origen, también es posible encontrarla así: f(x) = mx + b, que para el caso es lo mismo. Su ecuación simétrica es

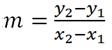
donde a es la abscisa al origen y b es la ordenada al origen. Su ecuación punto pendiente es y – y1 = m(x – x1). Esto si se conoce la pendiente (m), si no se conoce se puede obtener de esta forma:

pendiente

la pendiente es la inclinación de la recta, lo remarcare más adelante.

A continuación les daré algunos tips acerca de la ecuación ordinaria de la recta que como ya se dijo es y = mx + b, donde m es la pendiente o inclinación y b es la ordenada al origen, la ordenada al origen es el punto donde la recta corta al eje de las ordenadas (el eje y). Por ejemplo: se tiene la ecuación y = 3x + 2. La grafica queda así: (observen muy bien).

El 2 es la ordenada al origen, eso quiere decir que la grafica corta al eje de las ordenadas (al eje y) en el punto 2. Tal como se observa tanto en la grafica como en la tabla corta en el punto (0,2). Pero…¿Qué pasaría si en lugar de 3x fuera -3x o en lugar de 2 fuera -2? Las graficas quedarían así respectivamente:

 
 
 

PENDIENTE, PARALELISMO Y PERPENDICULARIDAD
REPRESENTACIÓN GRÁFICA DE LA PENDIENTE

En el ejemplo anterior la grafica quedo hacia diferente lado, esto se debió a que su pendiente era negativa, de hecho, gráficamente hay 4 tipos de pendiente.





 
 

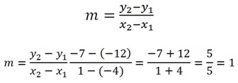
MÉTODO ANALÍTICO PARA ENCONTRAR LA PENDIENTE

La pendiente es el grado de inclinación de una recta la ecuación para obtenerla, como ya dije es:

Ejemplo.
Calcular la pendiente de la recta que pasa por los puntos P1(-4,-12) y P2(1,-7). Solución:


La pendiente es lo mismo que la tangente, es decir m = tan θ, para obtener el ángulo de inclinación de la recta con la calculadora se hace de este modo:

θ = tan-1 m = SHIFT + TAN + m. para que se den una idea, en el ejemplo anterior, la pendiente fue 1, entonces en la calculadora opriman: SHIFT + TAN + 1 = 45°. Si m = 0 entonces su ángulo seria 180° y si en su calculadora primen TAN 180 el resultado será cero, pero ¿qué pasaría si buscaran la tangente de 90°? La calculadora les marcaria SYNTAX ERROR puesto que la recta queda indeterminada, es decir m= indeterminada y la recta queda como en las imágenes anteriores.

REPRESENTACIÓN GRÁFICA DE RECTAS PARALELAS Y PERPENDICULARES

Gráficamente las rectas perpendiculares se cruzan en un solo punto que al prolongarse forman un ángulo de 90° en dicha intersección.

Las rectas perpendiculares son aquellas que jamás se cortan sin importar cuánto se prolonguen y siempre se mantienen a una distancia constante una de otra.

DEFINICIÓN DE PARALELISMO Y PERPENDICULARIDAD A PARTIR DEL ANÁLISIS DE SU PENDIENTE

Para las rectas perpendiculares, la pendiente de una y otra recta no son iguales y al multiplicarlas dará como resultado -1; m1 * m2= -1. La condición para que las rectas sean perpendiculares es que sus pendientes sean diferentes. Analíticamente las rectas paralelas tienen la misma pendiente, esa es la condición para que 2 o más rectas sean paralelas, la distancia d entre ellas es constante; m1=m2.

UNIDAD 2

LA CIRCUNFERENCIA

REPRESENTACION GRAFICA DE LA CIRCUNFERENCIA Y SUS ELEMENTOS

La circunferencia es la línea curva cerrada cuyos puntos que la forman equidistan del centro. El círculo es el conjunto de todos los puntos limitados por la circunferencia. Ojo circunferencia y circulo no son lo mismo, la circunferencia es lo de afuera y circulo lo de adentro. Gráficamente:


Los elementos del círculo los pueden ver en la unidad 3 de trigonometría, la fórmula para calcular el perímetro de la circunferencia: P = 2πr; y para calcular el área: A = πr2

La ecuación ordinaria de la circunferencia con centro en el origen es x2 + y2  = r2. Si la circunferencia tiene su centro fuera del origen la ecuación será (x-h)2 + (y-k)2  = r2. A partir de ahora veremos varios casos en los que el centro, vértice etc. estarán fuera del origen, por lo que les pido que no olviden que en esos casos a x siempre se le restara h y a y se le resta k.  La ecuación general de la circunferencia con centro en el origen es Ax2 + By2 – E = 0; si tiene su centro fuera del origen es Ax2 + By2 + Cx + Dy + E = 0.
Ejercicios: 1 hallar la ecuación de la circunferencia con centro en el origen y cuyo diámetro mide 20. La respuesta es x2 + y2 =100. Como tiene centro en el origen su ecuación es x2 + y2 = r2 si su diámetro mide 20 entonces su radio mide 10 = 102 = 100.
2. hallar las coordenadas del centro de la circunferencia que tiene como ecuación (x-3)2 + (y+7)2 = 144. Encuentra también la medida de su radio. Solución: su ecuación de de la forma (x-h)2 + (y-k)2 = r2 entonces su centro es C (h,k) = (3,-7), su radio r = 144 = 12. Ustedes recordaran que les dije que a x siempre se le resta h y que a y se les resta k, en el caso anterior es -7 porque de según las leyes de los signos “menos por menos da más” “(y+7) = (y- (-7))”

TRASLACIÓN DE LOS EJES DE REFERENCIA CON LA CIRCUNFERENCIA

Para eliminar los términos lineales de la ecuación que les acabo de enseñar se utiliza la traslación de los ejes, lo cual consiste en que el origen (0,0) se traslade a un punto (h,k) formando un nuevo plano coordenado representado como X’Y’ (se lee: “X prima, Y prima).


Si se tuviera un punto P (3,5) ¿Cuáles serían las coordenadas de ese punto P’ (x’,y’) si se crea un nuevo plano con origen en el punto O’ (2,3)? Solución:
Primero se traza la grafica, después se localiza el punto (2,3), se traza el nuevo plano coordenado tomando como origen al punto (2,3). Ahora el punto (3,5) esta en el punto (1,2) del nuevo plano. Analíticamente se puede comprobar esto mediante:
P (x,y)       x = x’ +h         y = y’ + k    sabemos que x = y = 5       h = 2  k = 3
Entonces x’ = x- h = 3-2=1        y’= y-k = 5-3=2    Por lo tanto P’ (x’,y’) tiene las coordenadas (1,3).

Anonymous

Elliotbut

07 Dec 2020 - 04:08 am

gout remedies cherry https://www.bizcommunity.com/Profile/acheterphentermine37.5mgen herbal defense

Anonymous

Yovani

05 Oct 2015 - 11:15 pm

Ayuda!! El profe nos dejó el siguiente problema:Los extremos de un segmento son los puntos Q(7, 4) y Q2 (-1, -4 ) hallar la razón de r
Pero no se como ya le di y le di y no lo encuentro porfa ayudante shiii!! Contesta a mi correro si eres tan amable! yovani_elmatador@hotmail.com

Agregar un comentario

Tu nombre

Tu dirección de correo (no se mostrará)

¿De qué color es el pasto? (chequeo de seguridad)

Mensaje *

© 2026 fireball.mex

81109